sm2椭圆曲线公钥密码算法

sm2椭圆曲线公钥密码算法

背景

国密算法介绍

国密即国家密码局认定的国产密码算法。主要有SM1,SM2,SM3,SM4。密钥长度和分组长度均为128位。

  • SM1 为对称加密。其加密强度与AES相当。该算法不公开,调用该算法时,需要通过加密芯片的接口进行调用。

  • SM2为非对称加密,基于ECC。该算法已公开。由于该算法基于ECC,故其签名速度与秘钥生成速度都快于RSA。ECC 256位(SM2采用的就是ECC 256位的一种)安全强度比RSA 2048位高,但运算速度快于RSA。

  • SM3 消息摘要。可以用MD5作为对比理解。该算法已公开。校验结果为256位。

  • SM4 无线局域网标准的分组数据算法。对称加密,密钥长度和分组长度均为128位。

由于SM1、SM4加解密的分组大小为128bit,故对消息进行加解密时,若消息长度过长,需要进行分组,要消息长度不足,则要进行填充。

SM2算法简介

SM2椭圆曲线公钥密码算法是我国自主设计的公钥密码算法,包括SM2-1椭圆曲线数字签名算法,SM2-2椭圆曲线密钥交换协议,SM2-3椭圆曲线公钥加密算法,分别用于实现数字签名密钥协商和数据加密等功能。SM2算法与RSA算法不同的是,SM2算法是基于椭圆曲线上点群离散对数难题,相对于RSA算法,256位的SM2密码强度已经比2048位的RSA密码强度要高。

sm2主要满足电子认证服务系统等应用需求。

椭圆曲线介绍

基本数学形式

椭圆曲线是下面方程的一组解: \[ Y^2 = X^3 + AX + B \] 这种类型的方程也被称为魏尔斯特拉斯方程,得名于19世纪对其进行广泛研究的数学家。下面给两个曲线的实例并画给出图片: \[ E1 : Y^2 = X^3 − 3X + 3 \;and\; E2 : Y ^2 = X^3 − 6X + 5 \]

1

实数域上椭圆曲线

加法运算

令E为如下椭圆曲线: \[ Y ^2 = X^3 − 15X + 18. \] 点P = (7, 16) 和 Q = (1, 2)为椭圆曲线上的两点,并构成直线L: \[ L : Y = \frac{7}{3}X − 1/3. \] 如下图所示,直线L和椭圆曲线E交于三个点P,Q,R

image-20221205131119418

点R关于x轴对称得到R',我们定义椭圆曲线d上的加法运算, \[ P \oplus Q = R', \] 和我们通常理解的加法不同,这里的加法是在曲线上进行的,也就是说给出两个点,相加一定可以得到椭圆曲线上的第三个点R',这个点就是加法的结果。

加法运算瓶颈——无穷远点O

还是按照上面的图片,我们尝试做这样的加法 \[ R \oplus R'=? \] 按照上一节的加法运算,直线RR‘应该和椭圆曲线交于三个点,但是这里没有第三个点,这时候该怎么办?数学家定义了一个无穷远点\(O\),并假设点\(O\)也在椭圆曲线上,这样RR'就能交于椭圆曲线的点\(O\)了,于是有 \[ R \oplus R'=O. \] 基于无穷远点有这样的性质

  • 无穷远点\(O\)和椭圆曲线上任意点P的连线一定是垂直于x轴的

结合之前的加法运算,于是有公式: \[ P \oplus O = P \] 这是不是很类似于一个零点,任何点加这个点都是其本身

除此之外,基于无穷远点还有如下性质 \[ P + O = O + P = P \; for \;all\; P ∈ E\\ P + (−P) = O \; for \;all\; P ∈ E\\ (P + Q) + R = P + (Q + R) \; for \;all\;P, Q, R ∈ E\\ P + Q = Q + P \; for \;all\; P, Q ∈ E \] 四条公式分别代表Albel群(交换群)的4条性质:存在零元,存在逆元,结合律,交换律

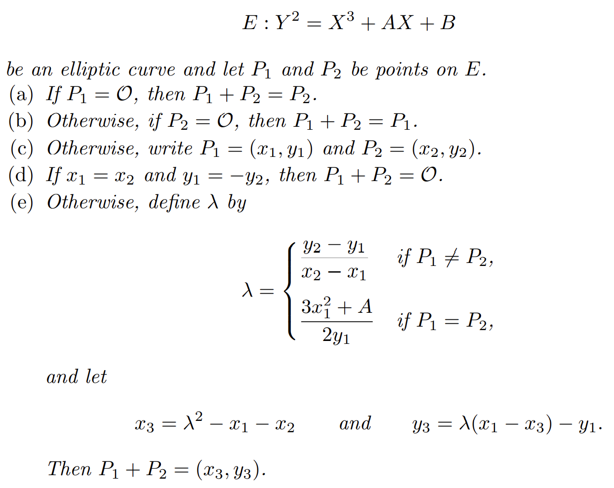
加法运算公式

这里给一张图片,很好的讲述了加法的运算公式

1

减法运算公式

定义负数元的概念:如果椭圆曲线上的一个点P=(a,b),那么点P的负数元为\(\ominus P = (a,-b)\)

这样定义有很好的性质:

  • \(P\ominus P = O\)

相当于实数域加减法的相反数的概念。

有限域上椭圆曲线

有限域上椭圆曲线定义

从上一节的介绍上可以看到,椭圆曲线上的加法运算构成一个群,所有的点可以是小数,也可以整数。那我们能不能加以限制,令椭圆曲线上的点全部都集中在某个域中呢?

定义1.\(p\)是一个奇素数,在有限域\(\mathbb{F}_p\)上的椭圆曲线有如下形式, \[ E : Y ^2 = X^3 + AX + B \;with\; A, B \in \mathbb{F}_p \;satisfying\; 4A^3 + 27B^2 \neq 0 \] 这里\(4A^3 + 27B^2 \neq 0\)是保证椭圆曲线上没有奇异点。

则定义在有限域上的椭圆曲线坐标是集合. \[ E(\mathbb{F}_p) = \{(x, y) | x, y \in \mathbb{F}_p \; satisfying \; y^2 = x^3 + Ax + B\}∪ \{O\} \]

一个例子,考虑下面的椭圆曲线: \[ E(\mathbb{F}_{13}) : Y ^2 = X^3 + 3X + 8 \;over \;the \;field \;\mathbb{F}_{13} \] 我们取X=0,得到\(Y^2=8\pmod{13}\),但我们解不出这个Y,因为方程无解

我们再取X = 1,得到\(Y^2=12\pmod{13}\),解出两个解Y=5或者Y=8,那么得到在\(E(\mathbb{F}_{13})\)有两个点(1,5)和(1,8)

X遍历有限域\(\mathbb{F}_{13}\),我们可以用类似的方法得到下面所有点 \[ E(\mathbb{F}_{13}) = \{O,(1, 5),(1, 8),(2, 3),(2, 10),(9, 6),(9, 7),(12, 2),(12, 11)\} \]

有限域上椭圆曲线运算

类似与实数域上的加法运算,有限域上椭圆曲线的运算,除法用模逆运算代替,所有运算均在有限域上进行(算完之后要模一个p)。这里还是举个例子

椭圆曲线: \[ E(\mathbb{F}_p) = \{(x, y) | x, y \in \mathbb{F}_p \; satisfying \; y^2 = x^3 + Ax + B\}∪ \{O\} \] 计算P=(9,7)和Q=(1,8)的和 $$ λ = (y_2 − y_1)/(x_2 − x_1) = (8 − 7)/(1 − 9) = 1/(-8) = 1/5 = 5^{-1} =8\

x_3 = λ^2 − x_1 − x_2 = 64 − 9 − 1 = 54 = 2\ y_3 = λ(x_1-x_3)-y_1 = 8*(9-2) - 7 = 49 = 10 $$ 最终得到P+Q=(2,10)

椭圆曲线的一些名词

椭圆曲线的阶

我们之前说到每个在有限域上的椭圆曲线都由有限个点组成。那么我们不禁要问:到底是多少个点?

首先,我们要定义一下 在一个群有多少个点就叫做这个群的“阶”(order)【在此放上wiki关于order的解释】。

椭圆曲线\(E(\mathbb{F}_{13}) : Y ^2 = X^3 + 3X + 8 \;over \;the \;field \;\mathbb{F}_{13}\)的阶为9,因为总共有9个点

椭圆曲线的基点

先介绍一下循环子群的概率,方便我们之后基点的讨论

数乘和循环子群

在实数域乘法的定义是: \[ nP=\underbrace{P+P+⋯+P}_{n个p} \] 使用倍加运算可以实现,其时间复杂度我们之后再讨论

举个例子:

已知椭圆曲线 \[ E(\mathbb{F}_p) = \{(x, y) | x, y \in \mathbb{F}_p \; satisfying \; y^2 = x^3 + 3x + 8\}∪ \{O\} \] 取其上一点P(9,7),其倍点运算为:

  • P = (9,7)

  • 2P = (9,6)

  • 3P = (1,12)

  • 4P = (9,7)

可以看出,点P运算4次还是点P,这就是循环子群的概念,可以看出点P的运算结果可以构成一个有限的集合,这种群算方式可以看成群的运算,从而构成循环子群。

基点的概念

可以看出基点就是椭圆曲线上的一个点,基点有一个阶n,点加运算n次即可得到再次得到基点。

基点的生成

基点可以构成一个循环子群,sm2椭圆加密就是在这个子群上进行运算。

假设椭圆曲线的阶为N,对于椭圆曲线上的每一个点,我们都有\(NP = O\),同时基点G(其阶为n)也能构成一个元素个数的为n的子群,由群论的拉格朗日定理,一定有\(n|N\),我们设置一个辅因子\(h = N/n\),随机取椭圆曲线上的一点,可以看出点hP循环n次就是无穷远点,如果n为素数,那么点hp生成的子群阶就是n \[ n*h*p = O \] 通过下面的运算步骤,我们可以寻找到阶为n的椭圆曲线下的子群。

  • 计算椭圆曲线的阶 N 。
  • 选择一个阶为 n 的子群。n必须是素数且必须是 N 的因子。
  • 计算辅因子 h=N/n 。
  • 在曲线上选择一个随机的点 P 。
  • 计算 G=hP 。
  • 如果 G 是0,那么回到步骤4。否则我们就已经找到了阶为 n 和辅因子是 h 的子群的基点。

sm2国密算法流程介绍

最详尽的算法流程步骤请参见这个pdf:sm2技术文档,本人在这里仅仅简单介绍一下流程和步骤,并讲解其中原理。其中流程中的一些符号不给予解释,文档里都有。

加密算法

  • A1:用随机数发生器产生随机数k∈[1,n-1];
  • A2:计算椭圆曲线点C1=[k]G=(x1,y1),按本文本第1部分4.2.8和4.2.4给出的细节,将C1的数据类 型转换为比特串;
  • A3:计算椭圆曲线点S=[h]PB,若S是无穷远点,则报错并退出;
  • A4:计算椭圆曲线点[k]PB=(x2,y2),将坐标x2、y2 的 数据类型转换为比特串;
  • A5:计算t=KDF(x2 ∥ y2, klen),若t为全0比特串,则返回A1;
  • A6:计算C2 = M ⊕ t;
  • A7:计算C3 = Hash(x2 ∥ M ∥ y2);
  • A8:输出密文C = C1 ∥ C2 ∥ C3。

其中KDF为密钥派生函数,函数原型为KDF(z,klen)可以根据比特串z,和长度klen,从而输出一个长度为klen的比特串。

下面给一个流程图

image-20221210202636498

加密算法原理的一些理解

  • 为什么随机数k范围是[1,n-1],因为如果k=n,那么[k]G = O,这样的点G是无法用坐标表示出来的,也无法参加后面的运算

  • 真正的密文在C2里,想要获取C2,必须用密钥派生函数KDF得到比特串t的值,而想要得到t的值,又必须计算\([k]P_B\),但是k是随机生成的,想要准确的获取k有两种方法。一种是从\([1,n-1]\)遍历,要知道这样的遍历需要计算\(n*(n-1)/2\)次加法运算,n一般是个很大的数(数量级为\(10^{78}\)),这种计算量算到宇宙毁灭也算不出来。另一种是解方程\([x]G=(x_1,y_1)\),这就回到椭圆曲线上的困难问题ECDLP,所以想要解密是十分的困难。

  • C2的长度为klen,即和密文的长度想当

  • C3是哈希函数,更多的是为验证接受到的密文是否出现改动

解密算法

设klen为密文中C2的比特长度。 为了对密文C=C1 ∥ C2 ∥ C3 进行解密,作为解密者的用户B应实现以下运算步骤:

  • B1:从C中取出比特串C1,将C1的数据类型转换为椭圆曲线上的点,验证C1是否满足椭圆曲线方程,若不满足则报错并退出;
  • B2:计算椭圆曲线点S=[h]C1,若S是无穷远点,则报错并退出;
  • B3:计算[dB]C1=(x2,y2),将坐标x2、y2的数据类型转 换为比特串;
  • B4:计算t=KDF(x2 ∥ y2, klen),若t为全0比特串,则报错并退出;
  • B5:从C中取出比特串C2,计算M′ = C2 ⊕ t;
  • B6:计算u = Hash(x2 ∥ M′ ∥ y2),从C中取出比特串C3,若\(u \neq C3\)则报错并退出;
  • B7:输出明文M′。

还是给出一个流程图

image-20221210204747217

解密算法的一些理解

  • 为什么计算\([d_B]C_1=[d_B*k]G\)即可得到加密流程中的(x2,y2),要知道只有\([k]P_B=(x2,y2)\),理由是:

密钥对的设定是有规则的,即\([d_B]G=P_B\),所以这里可以等价。试想一下,想要根据公钥PB得到私钥\(d_B\),又需要解一个ECDLP问题,sm2的安全性就基于此。

Python程序实现

sm2算法的实现有专门的库gmssl,调用其中的库即可实现加解密。

这里仿照gmssl库做出了一些改进,实现了sm2的加解密。

其中椭圆曲线参数的设定和基点的选择参照官方技术文档

1
2
3
4
5
6
基点G的阶:     FFFFFFFEFFFFFFFFFFFFFFFFFFFFFFFF7203DF6B21C6052B53BBF40939D54123
素数p: FFFFFFFEFFFFFFFFFFFFFFFFFFFFFFFFFFFFFFFF00000000FFFFFFFFFFFFFFFF
基点G横坐标: 32c4ae2c1f1981195f9904466a39c9948fe30bbff2660be1715a4589334c74c7
基点G纵坐标: bc3736a2f4f6779c59bdcee36b692153d0a9877cc62a474002df32e52139f0a0
椭圆曲线系数a: FFFFFFFEFFFFFFFFFFFFFFFFFFFFFFFFFFFFFFFF00000000FFFFFFFFFFFFFFFC
椭圆曲线系数b: 28E9FA9E9D9F5E344D5A9E4BCF6509A7F39789F515AB8F92DDBCBD414D940E93

代码实现如下

1
2
3
4
5
6
7
8
9
10
11
12
13
14
15
16
17
18
19
20
21
22
23
24
25
26
27
28
29
30
31
32
33
34
35
36
37
38
39
40
41
42
43
44
45
46
47
48
49
50
51
52
53
54
55
56
57
58
59
60
61
62
63
64
65
66
67
68
69
70
71
72
73
74
75
76
77
78
79
80
81
82
83
84
85
86
87
88
89
90
91
92
93
94
95
96
97
98
99
100
101
102
103
104
105
106
107
108
109
110
111
112
113
114
115
116
117
118
119
120
121
122
123
124
125
126
127
128
129
130
131
132
133
134
135
136
137
138
139
140
141
142
143
144
145
146
147
148
149
150
151
152
153
154
155
156
157
158
159
160
161
162
163
164
165
166
167
168
169
170
171
172
173
174
175
176
177
178
179
180
181
182
183
184
185
186
187
188
189
190
191
192
193
194
195
196
197
198
199
200
201
202
203
204
205
206
207
208
209
210
211
212
213
214
215
216
217
218
import binascii
from random import choice
from gmssl import sm3,func
import base64
# 选择素域,设置椭圆曲线参数

default_ecc_table = \
{
'n': 'FFFFFFFEFFFFFFFFFFFFFFFFFFFFFFFF7203DF6B21C6052B53BBF40939D54123',
'p': 'FFFFFFFEFFFFFFFFFFFFFFFFFFFFFFFFFFFFFFFF00000000FFFFFFFFFFFFFFFF',
'g_x': '32c4ae2c1f1981195f9904466a39c9948fe30bbff2660be1715a4589334c74c7',
'g_y': 'bc3736a2f4f6779c59bdcee36b692153d0a9877cc62a474002df32e52139f0a0',
'a': 'FFFFFFFEFFFFFFFFFFFFFFFFFFFFFFFFFFFFFFFF00000000FFFFFFFFFFFFFFFC',
'b': '28E9FA9E9D9F5E344D5A9E4BCF6509A7F39789F515AB8F92DDBCBD414D940E93',
}

# default_ecc_table = \
# {
# 'n': '1',
# 'p': 'D',
# 'g_x': '1',
# 'g_y': '1',
# 'a': '3',
# 'b': '8',
# }

class CryptSM2(object):

def __init__(self, private_key, public_key, ecc_table=default_ecc_table):
#初始化函数,需要输入公钥和私钥
self.private_key = private_key
self.para_len = len(ecc_table['n'])
self.public_key = self.Str_coordinate_to_jacobian(public_key)
self.ecc_a3 = (
int(ecc_table['a'], base=16) + 3) % int(ecc_table['p'], base=16)
self.ecc_table = ecc_table

def double_point(self, Point): # 倍点
l = len(''.join(Point)) #计算点的16进制长度
len_2 = 2 * self.para_len
x1 = int(Point[0], 16)
y1 = int(Point[1], 16)
z1 = int(Point[2], 16)

p = int(self.ecc_table['p'], base=16)
#使用计算倍点的公式
T6 = (z1 * z1) % p
T2 = (y1 * y1) % p
T3 = (x1 + T6) % p
T4 = (x1 - T6) % p
T1 = (T3 * T4) % p
T3 = (y1 * z1) % p
T4 = (T2 * 8) % p
T5 = (x1 * T4) % p
T1 = (T1 * 3) % p
T6 = (T6 * T6) % p
T6 = (self.ecc_a3 * T6) % p
T1 = (T1 + T6) % p
z3 = (T3 + T3) % p
T3 = (T1 * T1) % p
T2 = (T2 * T4) % p
x3 = (T3 - T5) % p

if (T5 % 2) == 1:
T4 = (T5 + ((T5 + p) >> 1) - T3) % p
else:
T4 = (T5 + (T5 >> 1) - T3) % p

T1 = (T1 * T4) % p
y3 = (T1 - T2) % p

form = '%%0%dx' % self.para_len
return (form % x3, form % y3, form % z3)

def add_point(self, P1, P2): # 点加函数,P2点为仿射坐标即z=1,P1为Jacobian加重射影坐标
p = int(self.ecc_table['p'], base=16)
X1 = int(P1[0], 16)
Y1 = int(P1[1], 16)
Z1 = int(P1[2],16)

x2 = int(P2[0], 16)
y2 = int(P2[1], 16)

T1 = (Z1 * Z1) % p
T2 = (y2 * Z1) % p
T3 = (x2 * T1) % p
T1 = (T1 * T2) % p
T2 = (T3 - X1) % p
T3 = (T3 + X1) % p
T4 = (T2 * T2) % p
T1 = (T1 - Y1) % p
Z3 = (Z1 * T2) % p
T2 = (T2 * T4) % p
T3 = (T3 * T4) % p
T5 = (T1 * T1) % p
T4 = (X1 * T4) % p
X3 = (T5 - T3) % p
T2 = (Y1 * T2) % p
T3 = (T4 - X3) % p
T1 = (T1 * T3) % p
Y3 = (T1 - T2) % p


form = '%%0%dx' % self.para_len

return (form % X3, form % Y3, form % Z3)

def kp(self, k_int, Point_xy):
# kP运算,即k倍点的运算函数
Point = Point_xy
k = k_int
mask_str = '8'
for i in range(self.para_len - 1):
mask_str += '0'
mask = int(mask_str, 16)
Temp = Point
flag = False
for n in range(self.para_len * 4): #每个16进制4个bit
if (flag):
Temp = self.double_point(Temp)
if (k & mask) != 0: #用与操作判断k的最高位是否为0
if (flag):
Temp = self.add_point(Temp, Point)
else:
flag = True
Temp = Point
k = k << 1
return self._convert_jacb_to_nor(Temp)

def _convert_jacb_to_nor(self, Point): # Jacobian加重射影坐标转换成仿射坐标
len_2 = 2 * self.para_len
x = int(Point[0], 16)
y = int(Point[1], 16)
z = int(Point[2], 16)
p = int(self.ecc_table['p'], base=16)
z_inv = pow(z, p - 2, p)
z_invSquar = (z_inv * z_inv) % p
z_invQube = (z_invSquar * z_inv) % p
x_new = (x * z_invSquar) % p
y_new = (y * z_invQube) % p
z_new = (z * z_inv) % p
if z_new == 1:
form = '%%0%dx' % self.para_len

return (form % x_new, form % y_new, form % z_new)
else:
return None

def encrypt(self, data_str):
# 加密函数,data消息字符串
data = data_str.encode() #将消息转化为bytes流
msg = data.hex() # 消息转化为16进制字符串
G = (self.ecc_table['g_x'],self.ecc_table['g_y'],"1")
k = 2#int(func.random_hex(self.para_len),16) #1.产生随机数k \in [1,n-1]
C1 = self.kp(k,G) #2.计算[k]G = (x1,y1)
C1 = self._convert_jacb_to_nor(C1)
C1 = C1[0]+C1[1]
xy = self.kp(k,self.public_key) #3.计算点s = [k]pk
x2 = xy[0]
y2 = xy[1]
m_len = len(msg)
t = sm3.sm3_kdf((x2+y2).encode('utf8'), m_len/2)#5.计算t = KDF(x2||y2,klen)
if int(t,16)==0:
return None
else:
form = '%%0%dx' % m_len #两个百分号代表%
C2 = form % (int(msg, 16) ^ int(t, 16)) #6.计算C2 = M 异或 t,C2的长度理应为消息M的长度
C3 = sm3.sm3_hash([
i for i in bytes.fromhex('%s%s%s'% (x2,msg,y2))#7.计算哈希函数C3 = Hash(x2 || M || y2)
])
return bytes.fromhex('%s%s%s' % (C1,C3,C2))

def decrypt(self, data):
# 解密函数,data密文(bytes)
data = data.hex()
len_2 = 2 * self.para_len
len_3 = len_2 + 64
C1 = self.Str_coordinate_to_jacobian(data[0:len_2]) #1.提取出C1,并转化为坐标点
C3 = data[len_2:len_3]
C2 = data[len_3:]
xyz = self.kp(int(self.private_key,16),C1)#3.计算[sk]C1 = (x2,y2)
xy = self._convert_jacb_to_nor(xyz)
# print('xy = %s' % xy)
x2 = xy[0]
y2 = xy[1]
cl = len(C2)
t = sm3.sm3_kdf((x2+y2).encode('utf8'), cl/2)#4.计算t = KDF(x2||y2,klen)
if int(t, 16) == 0:
return None
else:
form = '%%0%dx' % cl
M = form % (int(C2,16) ^ int(t,16))#5.恢复明文M = C2 异或 t
u = sm3.sm3_hash([
i for i in bytes.fromhex('%s%s%s'% (x2,M,y2))
])
return bytes.fromhex(M)

def Str_coordinate_to_jacobian(self,Point_str):
Point = Point_str
x = Point[0:self.para_len]
y = Point[self.para_len:2*self.para_len]
z = "1"
return (x,y,z)

if __name__ == "__main__":
# sm2的公私钥
SM2_PRIVATE_KEY = '00B9AB0B828FF68872F21A837FC303668428DEA11DCD1B24429D0C99E24EED83D5'
SM2_PUBLIC_KEY = 'B9C9A6E04E9C91F7BA880429273747D7EF5DDEB0BB2FF6317EB00BEF331A83081A6994B8993F3F5D6EADDDB81872266C87C018FB4162F5AF347B483E24620207'
operator = CryptSM2(SM2_PRIVATE_KEY,SM2_PUBLIC_KEY)
c = operator.encrypt("网络空间安全")
print(base64.b64encode(c))
result = operator.decrypt(c).decode(encoding="utf-8")
print(result)

# n = int(default_ecc_table['n'],16)
# G = operator.Str_coordinate_to_jacobian(SM2_PRIVATE_KEY)
# print(operator.kp(n,G))


sm2椭圆曲线公钥密码算法
http://example.com/2022/12/05/sm2椭圆曲线公钥密码算法/
作者
harper
发布于
2022年12月5日
许可协议